FSMC静态存储器控制器
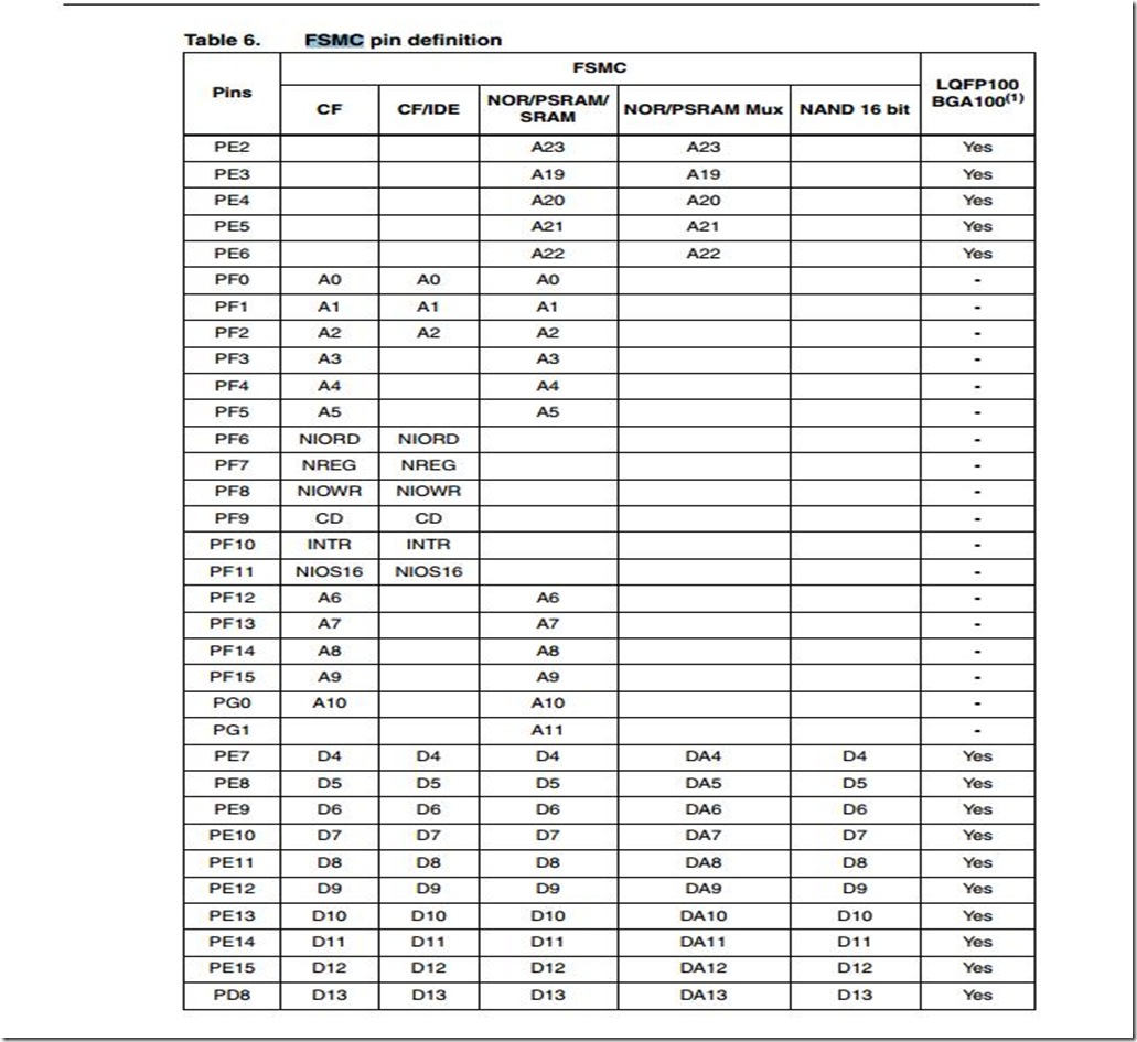
0赞For the LQFP100 and BGA100 packages, only FSMC Bank1 and Bank2 are available. Bank1 can only
support a multiplexed NOR/PSRAM memory using the NE1 Chip Select. Bank2 can only support a 16- or
8-bit NAND Flash memory using the NCE2 Chip Select. The interrupt line cannot be used since Port G is
not available in this package.
对于LQFP100和BGA100封装,只有FSMC BANK1和Bank2。 BANK1只能
支持复用的NOR/ PSRAM内存使用NE1芯片选择。 BANK2只能支持16 -
8位NAND闪存使用的NCE2芯片的选择。中断线不能使用,因为端口G
不提供这种封装。
FSMC
The FSMC is embedded in the STM32F103xC, STM32F103xD and STM32F103xE
performance line family. It has four Chip Select outputs supporting the following modes: PC
Card/Compact Flash, SRAM, PSRAM, NOR and NAND.
STM32F103xC,STM32F103xD和STM32F103xE中嵌入了FSMC
型系列。它有4个片选输出,支持以下模式:PC
卡/紧凑型闪存,SRAM,PSRAM,NOR和NAND。
Functionality overview:
● The three FSMC interrupt lines are ORed in order to be connected to the NVIC
● Write FIFO
● Code execution from external memory except for NAND Flash and PC Card
● The targeted frequency, fCLK, is HCLK/2, so external access is at 36 MHz when HCLK
is at 72 MHz and external access is at 24 MHz when HCLK is at 48 MHz
功能概述:
●三个FSMC中断线路或连接,以向NVIC
●写FIFO
●代码从外部存储器执行除NAND闪存和PC卡
●目标频率FCLK,HCLK/2,所以外部访问时,在36 MHz HCLK
在72 MHz和外部访问时,在24 MHz HCLK是在48 MHz






