功率MOSFET的开关损耗:开通损耗
0赞前面的文章讲述过基于功率MOSFET的漏极特性理解其开关过程,也讨论过开关电源的PWM及控制芯片内部的图腾驱动器的特性和栅极电荷的特性,基于上面的这些理论知识,就可以估算功率MOSFET在开关过程中的开关损耗。开关损耗内容将分成二次分别讲述开通过程和开通损耗,以及关断过程和和关断损耗。
功率MOSFET及驱动的等效电路图如图1所示,RG1为功率MOSFET外部串联的栅极电阻,RG2为功率MOSFET内部的栅极电阻,RG=RUp+RG1+RG2为G极串联的总驱动电阻。

图1:功率MOSFET驱动等效电路
实际的应用中功率MOSFET所接的负载大多为感性负载,感性负载等效为电流源,因此功率MOSFET的开关过程基于电流源来讨论。当驱动信号加在功率MOSFET的栅极时,开通过程分为4个模式(阶段),其等效电路如图2所示。


图2:功率MOSFET开通过程

图3:功率MOSFET开通波形
(1) 模式M1:t0-t1
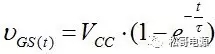
起始状态从t0时刻开始,当驱动电压信号通过电阻加在功率MOSFET的栅极G时,驱动电压对G极的电容充电,G极电压成指数上升。MOSFET的漏极和源极所加的电压VDS为电源电压VDD,漏极电流ID≈0A。当VGS电压达到阈值电压VTH后,此阶段结束,对应时刻为t1,如图2(a)和图3所示。
此过程中,栅极的电压VGS为:

(2) 模式t1-t2
在t1时刻,MOSFET开通,漏极开始流过电流,在t1到t2期间,Ciss继续充电,栅极电压VGS继续上升,机理跟前一阶段完全一样,同时ID的电流从0开始不断的增加,ID的电流和VGS的值满足跨导的限制。


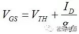
当ID的电流达到电流源的电流值Io、也就是系统的最大电流时,VGS电压也上升到米勒平台电压VGP,此阶段结束,对应时刻为t2。在整个时间段t1~t2过程中,VDS保持电源电压VDD不变,如图2(b)和图3所示。

(3) 模式t2-t3
在t2时刻,VGS电压上升到米勒平台电压VGP,ID电流也上升到系统电流最大值。由于ID的电流不再增加,那么VGS的电压就要维持不变,而驱动回路仍然提供着驱动的电流,试图迫使VGS的电压上升,那么只有VDS的电压开始变化,也就是VDS从VDD电压开始下降,产生dV/dT的变化,在米勒电容Crss上产生抽取电流,从而保证VGS的电压不会增加。
ICrss = Crss· dVDS/dT
VDS的变化将驱动回路的电流全部抽走,从Crss流过,CGS没有充电的电流,驱动电流全部流向Crss,VGS的电压就不再变化,保持不变。在整个时间段t2~t3内,器件工作在稳定的恒流区,VGS电压保持恒定VGP不变,ID电流保持恒定,VGS电压保持一个平台区,形成有名的米勒平台,如图2b(c)和图3所示,则有:

随着VDS电压不断降低,Crss的电荷被清除,当VDS电压降到最小值后不再变化,此阶段结束,对应时刻为t3。
(4) 模式t3-t4
在t3时刻,VDS电压降到最小值不再改变,所以dVDS/dT为0,dVDS/dT不再通过Crss产生抽取电流,于是驱动电路的电流将继续同时给CGS和Crss充电,如图2(d)和图3所示,VGS的电压按指数关系上升,和阶段1、2类似,直到VGS电压达到最高的驱动VCC,整个开通的过程结束。
通过图3的波形可以看到,在整个开通过程的4个阶段:t0-t1、t1-t2、t2-t3和t3-t4,t0-t1阶段,ID的电流基本上为0,没有损耗。t3-t4完全开通,只有导通电阻产生的导通损耗,没有开关损耗。
t1-t2、t2-t3二个阶段,电流和电压产生重叠交越区,因此产生开关损耗。同时,t1-t2和t2-t3二个阶段工作于线性区,因此功率MOSFET的开通过程中,跨越线性区是产生开关损耗的最根本的原因。

这表明:米勒平台时间在开通损耗中占主导地位,这也是为什么在选择功率MOSFET的时候,如果关注开关损耗,那么就应该关注Crss或QGD,而不仅仅是Ciss和QG。

图4:功率MOSFET开通损耗
开通损耗没有考虑在开通过程中,Coss的放电产生的损耗,低压的应用Coss放电产生的损耗可以忽略,而高压的应用中,Coss放电产生的损耗甚至比上面的开通损耗还要大,因此在重点校核。
文章来源:微信公众号 融创芯城(一站式电子元器件、PCB、PCBA购买服务平台,项目众包平台,方案共享平台)
