AET网站
资源下载
技术应用
资讯
电路图
技术专栏
小组
大学堂
登录
|
注册
beautyofcomm
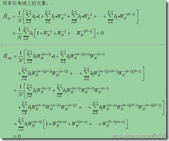
CP是如何将多径信道的线性卷积变成循环卷积的?
0
赞
发表于 9/26/2016 9:52:26 AM
阅读(2967)
« 上一篇:PC与FPGA通信:MATLAB的非实时性对FPGA设计的考验
» 下一篇:《通信之美》写后感(01):OFDM 技术如何抵抗多径衰落(上)
作者
beautyofcomm
关注
文章:21 篇
阅读:66953 次
标签
关注微信公众号
Copyright © 2005-2020 《电子技术应用》版权所有
京ICP备10017138号