BSC信道的香农限
0赞
发表于 9/26/2016 10:24:51 AM
阅读(6137)
如有转载,请注明出处,谢谢。
说起香农限,大家想到的都是-1.59dB。但实际上,这只是 AWGN 信道的香农限,不同信道的香农限是不同的,本文推导 BSC 信道在码率 R 趋于 0,误比特率
趋于 0 时的香农限。 BSC 信道是一类最为简单的离散无记忆信道(Discrete Memoryless Channel),如下图所示。

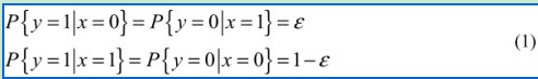
若令 X 为发送的符号集合,Y 为接收的符号集合,则 X=Y={0,1},且
也可用更为直观的信道转移矩阵表示为
目前常用的数字通信系统都可简化为一个 BSC 信道模型,如下图所示,则误比特率
等于转移概率
。
而对于受到AWGN干扰的BPSK调制信号,又可表示为码率R与
的函数
为了描述方便,令
,则
。若要
,只有当码率
时所需的
最小。而当
时,
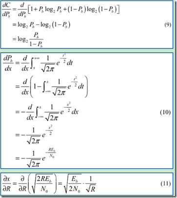
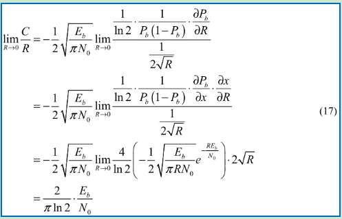
。则需要利用洛必达法则,根据求导的链式法则
由于




