基于矿灯的ZigBee无线预警系统
0赞现有矿灯,大部分不具备无线通信功能,而具备无线通信功能的矿灯大部分不具备ZigBee模块自动组网功能。传统无线通信矿灯是先将数据传输到指挥台,指挥台经过判断,最后再提醒井下其他矿工,井下存在安全隐患。虽然亦能起到报警功能,但是矿上指挥中心不能准确了解井下具体的信息,且井下其他矿工也不能立即知道井下的安全状况,导致无法及时采取有效措施。存在灵活性差,成本高,可靠性差等问题。
本系统旨在解决现有矿灯存在的问题,提供一种基于矿灯的ZigBee 数传模块自动组网无线预警系统,能够对矿井下瓦斯浓度和温湿度信息进行ZigBee 数据采集,当瓦斯浓度和温湿度超限时,ZigBee模块通过自动组网,将数据传输到路由器节点,由路由器节点再将数据传输给其他矿工和矿上指挥台,矿上指挥台可通过液晶显示器了解到矿井下精确的数据信息,并用LED指示灯和蜂鸣器对相应状况进行报警。若发生塌方等矿难,遇险难矿工可通过路由器节点处的充电口补充电能,提供必要的照明,等待救援人员的到来。
1 系统组成部分
本系统主要由电源部分,照明部分,ZigBee数据采集部分,数据处理部分,ZigBee 无线模块通信部分,显示报警部分。
电源部分,由锂离子电池供电,稳压电路提供稳定的电压,充电电路提供优良的充电功能。
照明部分,由LED 灯头提供高效节能的照明功能。
ZigBee 数据采集部分,由瓦斯传感器和温湿度传感器对矿工周边环境进行数据检测。
数据处理部分,由集成有模数转换的微处理器先对检测的数据进行模数转换,再对数据进行处理,并对处理的结果做出动作。无线通信部分,由ZigBee 数传模块进行数据的传输,并进行自动组网。
显示报警部分,由液晶显示器对传感器检测的数据进行显示,方便矿上指挥台对井下的情况有详细的了解,并由LED 灯和蜂鸣器对井下突发状况进行报警[。
2 系统工作方式
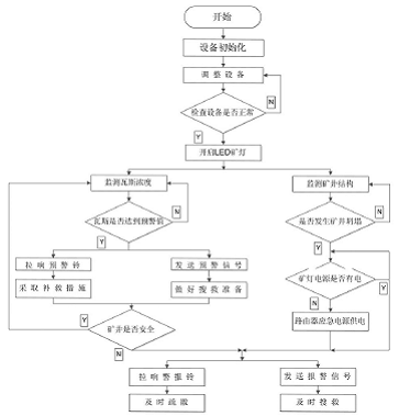
系统工作流程图见图1。
图1 系统流程图
矿灯整体构造图见图圆,矿灯采用聚合物锂离子电池供电,采用高亮LED 发光管作为光源,将锂离子电池、充电电路、稳压电路集成在一体化的电池盒中,电池盒可通过充电口给锂离子电池充电。总开关是矿灯设备的总开关,控制矿灯整个电路的开和关。灯开关是矿灯光源部分的开关,控制灯的亮和灭。灯头不仅可通过电池盒供电,而且可通过路由器节点供电,见图2,电源插头可插在电池盒上的充电口,也可插在路由器节点的矿灯充电口,见图3。
图2 圆矿灯整体结构 图3 路由器节点
矿灯不仅是照明设备,而且是ZigBee数据采集传感器信息的设备,由瓦斯传感器和温湿度传感器采集瓦斯浓度和温湿度信息,通过ZigBee无线模块自动组网,将信息传递到路由器节点,再由路由器节点将信息传递到其他矿灯和矿上上位机控制台,ZigBee 数据采集采集的信息超过设限范围,矿灯和井上上位机控制台都将通过蜂鸣器和LED 指示灯进行报警,矿上上位机控制台的LCD 显示器将显示所有传感器采集到的信息的最大值,见图4,并且每隔5 分钟清除所有数据,重新显示采集到的最大值,便于矿上指挥人员采取适当的救援措施。
图4 上位机控制台 图5 充电口示意图
3 附图说明
图1 为矿灯头;图2 为电池盒;图3 为路由器节点;图4 为上位机监控端。
图中标号:1.LED 灯头;2.散热片;3.塑料背板;4.瓦斯传感器;5.固定槽;6.温湿度传感器;7.电源连接线;8.无线模块及控制电路;9.线路板;10.固定螺丝槽;11.塑料背板;12.电源插槽;13.聚合物锂离子电池;14.控制电路;15.充电口;16.密封型总开关;17.高亮LED 灯;18.电源插槽;19.无线接收天线;20.无线模块及控制电路;21.固定槽;22.锂离子电池;23.电源密封型开关;24.密封型开关;25.电源线插孔;26.LED 指示灯;27.无线接收天线;28.无线模块及控制电路;29.液晶显示器。
4 结束语
目前我国矿难时有发生,采矿安全越来越得到人们的重视。本系统基于矿灯开发一种利用ZigBee数传模块自动组网的无线预警系统,有效的降低矿井下的安全隐患,随着ZigBee无线模块通信技术的不断成熟,该系统在煤矿井下的应用将具有很大的发展前景。





