学习笔记——正交上下变频
0赞很多软件无线电、信号源都需要变频调制功能,有的信号源表上有IQ分量输入,然后调制到需要输出的频点上。
一般多通道复用要先数字变频再模拟变频的方式达到多频点复用。
如下图所示:
模拟变频(调制)与数字变频(调制)原理相同,下文介绍了一路正交信号的变频原理。
一、正交上下变频基本原理:
其中
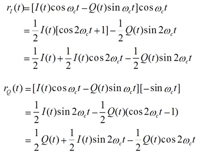
假设中间信道无噪声r(t)=S(t)那么
则只要LPF带宽小于wc即可得到
以上信息节选自:
二、Matlab仿真
基本参数:I为1M正弦波,Q为5M正弦波,上下变频为100M,LPF为10M低通滤波器,通带0db,阻带-100db。
1.根据基本原理图,使用simulink对上变频与下变频进行图形编程,并在需要观察的位置添加频谱仪:
2.运行仿真,并观察观测位置的频谱
输入激励正弦波信号I(t)与Q(t)的频谱:
上变频结果S(t)的频谱(右图为左图的局部放大):
下变频滤波前rI(t)、rQ(t)与低通滤波后的信号频谱:
由于低通滤波器阻带为-100db,所以滤出来的信号频谱上还可以看到,但幅度已经很小。
三、总结
由于FPGA内的时钟速率有限,所以信号采样率也是有限的,需要满足奈奎斯特采样定律,所以一般数字变频不可能搬太多。而模拟变频则直接将信号上搬到模拟信号频段附近。数字变频的目的一是将不同的通道信号分开不同的频点,二是相对于本振频点变频使信号达到期望频点。
例如:输入信号为两路10M带宽的信号,目标中心频点分别为2320M和2335M,本振为2300M,那么可将第一路信号数字上变频15M(也就是与15M的DDS相乘),将第二路信号数字上变频30M(也就是与30M的DDS相乘),合为一路经DAC输出后再与本振芯片调制至目标频点。特别需要注意的就是滤波器的带宽,需要把本振、镜像频点滤除再进功放。
